On définit la densité spectrale de puissance (DSP en abrégé, Power Spectral Density ou PSD en anglais) comme étant le carré du module de la transformée de Fourier. Ainsi, si x est un signal et X sa transformée de Fourier, la densité spectrale de puissance vaut Γx = | X | 2. (Tout le monde s'en doutait et personne n'osait le dire, n'est-ce pas ?) Bon ! Là dessus, oserions-nous nous demander ce qu'est la transformée de Fournier ? Oui, bien sûr ! Osons-le donc et laissons ce soin à Wikipédia : http://fr.wikipedia.org/wiki/Transform%C3%A9e_de_Fourier pour ce qui est d'y répondre. Bref, ne nous dispersons pas, il va déjà falloir s'accrocher ! Revenons donc à notre densité spectrale de puissance et à son autocorrélation.
Densité spectrale de puissance et autocorrélation
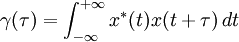
La définition de la fonction d'autocorrélation temporelle d’un signal x à temps continu est :
![]()
où * est la conjugaison complexe.
Prise au point τ, cette
fonction mesure en quelque sorte la manière dont les
structures que l'on peut voir dans un signal se répètent
sur des échelles de temps de l’ordre de
τ.
Sa définition à l'aide de l'opérateur de convolution
est :
![]()
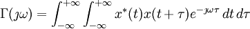
Les propriétés de la transformée de Fourier impliquent que la densité spectrale est la transformée de Fourier de l'autocorrélation :
![]()
Calcul détaillé
Calculons sa transformée de Fourier Γ(ν):
,
'
'
Cette expression peut se mettre sous la forme :
![]()
On effectue dans l'intégrale centrale le changement de variable u=t+τ et il vient :
![]()
Soit encore :
![]()
On effectue le changement de variable u=-t et on obtient :
![]()
On reconnaît, dans le deuxième terme, la transformée de Fourier de x*(-t). Or la transformée de Fourier de x* vaut X*(-ν), et la transformée de Fourier de x(-t) vaut X(-ν). Le deuxième terme vaut donc X*(jω), donc Γ(jω)=X(jω)X*(jω)=|X(jω)|2: la densité spectrale de puissance est aussi la transformée de Fourier de l'autocorrélation.
Les amoureux des formules, les matheux et autres fervents des expressions symboliques étant à présent rassasiés (du moins nous l'espérions), venons-en à des considérations plus pratiques. Car enfin, à quoi tout cela va-t-il bien pouvoir nous servir ? (D'autant que nous avions stipulé en avant-propos que cela ne servait à rien ! Hé bien, figurez-vous que, contrairement aux apparences, il va falloir revoir sa copie à ce sujet ! Et pas qu'un peu !)
Utilisation de la densité spectrale de puissance dans les télécommunications
En télécommunications, on doit souvent traiter des signaux aléatoires. Cependant, on ne peut calculer la transformée de Fourier d’un signal non entièrement connu. En revanche, on peut calculer l’autocorrélation d’un signal aléatoire connu par ses propriétés statistiques. La densité spectrale de puissance est donc, souvent, utilisée en télécommunications.Considérons, par exemple, le «bruit
blanc». Le bruit est un exemple type de signal
aléatoire. La valeur du bruit, à un instant donné, n'est
absolument pas corrélée avec la valeur du bruit aux
autres instants. Cela se traduit par une fonction d'autocorrélation
du bruit égale à une impulsion de Dirac (c'est-à-dire
égale à l'infini en 0, et 0 ailleurs, comme chacun
sait). La transformée de Fourier d'une impulsion de
Dirac est la constante unité (le module vaut 1 quelle
que soit la fréquence). On définit alors, par «bruit
blanc», un bruit dont la densité spectrale est constante
suivant la fréquence. En télécommunications, on
considère souvent les bruits comme étant blancs, tout du
moins dans les bandes passantes des systèmes étudiés.
Vous voyez ci-contre le spectre plat d'un bruit blanc (sur
l'abscisse, la fréquence; en ordonnée,
l'intensité)
Mais, nous direz-vous, jusqu'ici, on n'a somme toute
fait que déplacer le problème et plus on explique et
puis moins on comprend, bombardés que nous sommes par
des termes plus obscurs les uns que les autres !
Il nous serait déjà utile d'avoir une idée de ce que
l'on entend par "autocorrélation", non ? Hé bien :
L'autocorrélation est un outil mathématique
souvent utilisé en traitement du signal. C'est la
corrélation croisée d'un signal par lui-même. L'autocorrélation
permet de détecter des régularités, des profils répétés
dans un signal comme un signal périodique perturbé par
beaucoup de bruit, ou bien une fréquence fondamentale
d'un signal qui ne contient pas effectivement cette
fondamentale, mais l'implique avec plusieurs de ses
harmoniques. Mais attention, car il y a une
astuce :
la confusion est souvent faite entre l'autocovariance
et l'autocorrélation obtenue en divisant
cette dernière par la variance. Ces deux
notions généralisent les notions
classiques de
covariance ayant pour dimension la
dimension de la variable élevée au carré
et de
coefficient de corrélation compris entre
-1 et +1. Il existe
d'autre part deux définitions
fondamentalement différentes. À un
processus stochastique discret ou
continu, correspond une «autocorrélation»
statistique qui généralise la notion de
covariance. Dans le cas d'un
processus continu (en toute
généralité complexe)
Bruit blanc sonore
Le bruit blanc, à l'instar de la lumière blanche qui est un mélange de toutes les couleurs, est composé de toutes les fréquences, chaque fréquence ayant la même énergie. Le nombre de fréquences doublant d'une octave à l'autre, l'énergie croît linéairement de 3 dB par octave.
Notion de bruit blanc
Par analogie avec la lumière blanche qui contient toutes les fréquences lumineuses avec la même intensité, un bruit blanc est un processus stochastique qui possède la même densité spectrale de puissance à toutes les fréquences. Ceci correspond à une autocorrélation nulle en tout point sauf à l'origine : le processus est décorrélé. S'il est gaussien, cette décorrélation entraîne l'indépendance. La décorrélation conduit à une puissance moyenne ou variance infinie. Le processus correspondant ne peut donc exister mais c'est une approximation commode pour le calcul de la réponse d'un système peu amorti. Plus concrètement, un bruit blanc filtré à la fréquence fc correspond à un processus échantillonné à 1 / 2fc, ce résultat étant utilisé dans les simulations.
CONCLUSIONS PROVISOIRES
Nous
pourrions poursuivre en évoquant le bruit blanc et ses
solutions analytiques d'équations différentielles mais
nous croyons avoir largement poussé le bouchon assez
loin que pour démontrer à tout le moins que l'on pouvait
continuer très longtemps d'investiguer ce domaine tout
en le compliquant à l'infini dans les explications.
Il suffit de lire et de relire (au besoin) ce qui
précède pour se rendre compte que le bruit blanc est
donc une base relativement théorique et symbolique sur
laquelle en fonction de certains facteurs, soit des
interférences classiques peuvent intervenir et relever
de l'accidentel, soit l'intervention d'énergies
extérieures ou provoquées, sous toutes leurs formes ou
presque, c'est-à-dire, plus simplement, qu'il s'agit
d'un substrat potentiel à des communications
parfaitement identifiées, mais également à toutes sortes
d'autres communications éventuelles.
Tant de détours savants pour ça ? Hé bien oui, mais ces détours ne sont pas vains car ils démontrent scientifiquement que le bruit blanc n'est pas seulement un bruit comme tant d'autres, sans incidences particulières dans notre domaine. Cela a au moins pour conséquence d'attester que ce bruit blanc est bel et bien un "véhicule" possible de communications. Il ne s'agit donc pas d'une affirmation gratuite de la part de charlatans. Cela dit, n'allons pas trop vite en besogne non plus : cela n'atteste en aucune façon la réalité des communications prétendument en provenance de l'au-delà. En effet, s'il est possible d'analyser des sons enregistrés, c'est un autre problème que d'isoler une éventuelle communication et de l'identifier.
Cette petite investigation, qui se présente comme un pas de fourmi, est néanmoins très importante. Il convenait en effet de prendre le problème dès sa source. Si le bruit blanc ne pouvait résolument pas être un vecteur de TCI, il n'était pas utile d'aller plus loin. Nous venons de voir que tel n'était pas le cas, ce qui nous permettra de passer à l'étape suivante.
Mais avant cela, citons quand même une application du bruit blanc : le traitement des acouphènes. (Les acouphènes ? Non, ce ne sont pas des parasites ! L'acouphène est une impression auditive correspondant à la perception d'un son. Il s'agit de sensations sonores qui ne sont pas liées à une onde acoustique extérieure, c'est-à-dire qui sont seulement perçues par le sujet. Le son perçu ressemble à un bourdonnement, un sifflement ou même à un tintement ressenti dans le crâne ou dans l'oreille interne, d'un seul côté ou des deux. Il existe deux types d'acouphènes : l'acouphène objectif et l'acouphène subjectif. L'acouphène n'est pas une maladie mais un symptôme et ses causes sont nombreuses. Pour la petite histoire, disons que l'on peut ressentir un acouphène après une soirée passée dans une boîte de nuit, alors que le volume sonore est particulièrement important. Une fois que le silence revient, on perçoit alors un sifflement persistant dans l'oreille. Cela peut ne durer que quelques minutes mais aussi se prolonger pendant des heures. Cet exemple n'est qu'un cas d'acouphène très léger et passager, mais cela ne correspond en rien à ce que les personnes atteintes peuvent endurer. Les bruits décrits peuvent varier du rasoir électrique à la tondeuse à gazon ou même à l'avion à réaction, perçus en permanence, ou presque ! Dans ce cas, on comprend que les personnes atteintes d'acouphènes éprouvent un véritable calvaire dont les corollaires les plus évidentes sont les insomnies (et donc la fatigue très marquée), un stress important, des variations d'humeur très compréhensibles, etc.


